Keşfedin, Öğrenin ve Paylaşın
Evrim Ağacı'nda Aradığın Her Şeye Ulaşabilirsin!
Paylaşım Yap
2,000 ATP Ödüllü Soru: Pdi (Pauli dışlama ilkesi) iki özdeş fermiyonun aynı anda aynı kuantum durumunda bulunamayacağını belirtir. Ya evrene dışına çıkılan ve içine girebilen bi olgu olarak görürsek bunu baypas edebilir miyiz? Hemen cevapla!
Keşfet
Akış
İçerikler
Gündem
Gönderiler
Moleküler Biyoloji
Virüsler
Abd
Dünya Sağlık Örgütü
Jüpiter
Nörobiyoloji
Entropi
Kuyruksuz Maymun
Karınca
Tüyler
Algoritma
Yavru
Elektron
Atmosfer
Mars
Fotoğraf
Çevre Kirliliği
Moleküler Biyoloji Ve Genetik
Nobel Ödülü
Lgbt
Anksiyete
Nörobilim
Irk
Küresel İklim Değişimi
Pandemi
Aklımdan Geçen
Komünite Seç
Aklımdan Geçen
Fark Ettim ki...
Bugün Öğrendim ki...
İşe Yarar İpucu
Bilim Haberleri
Hikaye Fikri
Video Konu Önerisi
Başlık
Kafana takılan neler var?
Matematik
Bağlantı
Ekle
Soru Sor
Stiller
Kurallar
Komünite Kuralları
Bu komünite, aklınızdan geçen düşünceleri Evrim Ağacı ailesiyle paylaşabilmeniz içindir. Yapacağınız paylaşımlar Evrim Ağacı'nın kurallarına tabidir. Ayrıca bu komünitenin ek kurallarına da uymanız gerekmektedir.
1
Bilim kimliğinizi önceleyin.
Evrim Ağacı bir bilim platformudur. Dolayısıyla aklınızdan geçen her şeyden ziyade, bilim veya yaşamla ilgili olabilecek düşüncelerinizle ilgileniyoruz.
2
Propaganda ve baskı amaçlı kullanmayın.
Herkesin aklından her şey geçebilir; fakat bu platformun amacı, insanların belli ideolojiler için propaganda yapmaları veya başkaları üzerinde baskı kurma amacıyla geliştirilmemiştir. Paylaştığınız fikirlerin değer kattığından emin olun.
3
Gerilim yaratmayın.
Gerilim, tersleme, tahrik, taciz, alay, dedikodu, trollük, vurdumduymazlık, duyarsızlık, ırkçılık, bağnazlık, nefret söylemi, azınlıklara saldırı, fanatizm, holiganlık, sloganlar yasaktır.
4
Değer katın; hassas konulardan ve öznel yoruma açık alanlardan uzak durun.
Bu komünitenin amacı okurlara hayatla ilgili keyifli farkındalıklar yaşatabilmektir. Din, politika, spor, aktüel konular gibi anlık tepkilere neden olabilecek konulardaki tespitlerden kaçının. Ayrıca aklınızdan geçenlerin Türkiye’deki bilim komünitesine değer katması beklenmektedir.
5
Cevap hakkı doğurmayın.
Aklınızdan geçenlerin bu platformda bulunmuyor olabilecek kişilere cevap hakkı doğurmadığından emin olun.
Size Özel
Makaleler
Rastgele Soru
Ali Kaya
Ali Kaya
365.4K UP
9 Nisan 2024
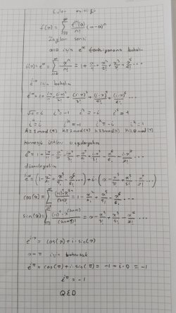
Adını matematikçi Leonhard Euler'den alan Euler eşitliğinin ispatı. Fizikçi Richard Feynman The Feynman Lectures on Physics" adlı kitabında bu formül için "Matematikteki en dikkate değer formül" demiştir. Matematikçiler arasında matematiğin en güzel eşitliği olarak da bilinir.
277 görüntülenme
10.0/10
(32 Kişi)
Puan Ver
Cilt 1: Mekanik Işınım, Isı - Yeni Milenyum Basımı
İnceleme Yaz
Sonra Okuyacaklarıma Ekle
Bu gönderi Evrim Ağacı tarafından öne çıkarılmıştır.
10
0 Yorum
  • Şikayet Et
  • Mantık Hatası
0
  • Paylaş
  • Alıntıla
  • Alıntıları Göster
Gündem
Matematik
Ali Kaya
Ali Kaya
365.4K UP
20 Temmuz 2024
Bir sayının asal sayı olduğunu kontrol etmek zordur. Ama asal olmadığına bakmak çok kolaydır çünkü 1 den farklı 2 tam sayının çarpımıysa asal olmayacak. Mesela bir soru:
2019^4+4^2019 bir asal sayı mıdır?
bakalım bileşik bir sayı mı
x^4+4y^4=x^2-4(xy)^2+4y^4-4(xy)^2
x^4+4y^4=(x^2-y^2)^2-(2xy)^2
x^4+y^4=(x^2-y^2+2xy)(x^2-y^2-2xy)
2019^4+4*4^2018 olduğundan demekki asal değil!
522 görüntülenme
2
0 Yorum
  • Şikayet Et
  • Mantık Hatası
0
  • Paylaş
  • Alıntıla
  • Alıntıları Göster
Ali Kaya
Ali Kaya
365.4K UP
19 Temmuz 2024
Matematik şüpheye kapalıdır. Bir şey ya doğrudur ya da yanlıştır. Kişisel düşünceye de kapalıdır. Kimse için değişmez ve mutlakdır. Matematiği güçlü yapan da budur zaten. Şüphe yoktur her şey kanıtlar ile bağlanır
444 görüntülenme
8
1 Yorum
  • Şikayet Et
  • Mantık Hatası
0
  • Paylaş
  • Alıntıla
  • Alıntıları Göster
Ali Kaya
Ali Kaya
365.4K UP
17 Temmuz 2024
Boş küme her ne kadar boş olsa da her şeyi içine alır. Daha anlaşılır şekilde boş kümenin elemanları her özelliği sağlar ve zorundadırda...
387 görüntülenme
6
4 Yorum
  • Şikayet Et
  • Mantık Hatası
0
  • Paylaş
  • Alıntıla
  • Alıntıları Göster
Ali Kaya
Ali Kaya
365.4K UP
7 Temmuz 2024
Tam sayılardan oluşan bir dizi aynı anda şu 3 özelliği kesin olarak sağlayamaz:
Sonsuz elemanlı
azalan
Sürekli pozitif
414 görüntülenme
6
0 Yorum
  • Şikayet Et
  • Mantık Hatası
0
  • Paylaş
  • Alıntıla
  • Alıntıları Göster
Ali Kaya
Ali Kaya
365.4K UP
5 Temmuz 2024
Rusya'nın St. Petersburg şehrinde bulunan "Smolenskoye Lyuteranskoye Kladbishche" mezarlığında tarihin en büyük matematikçiletrinden birisi olan Leonhard Euler'in mezarı bulunmaktadır
465 görüntülenme
Bu gönderi Evrim Ağacı tarafından öne çıkarılmıştır.
6
0 Yorum
  • Şikayet Et
  • Mantık Hatası
0
  • Paylaş
  • Alıntıla
  • Alıntıları Göster
Daha Fazla İçerik Göster
Popüler Yazılar
30 gün
90 gün
1 yıl
Evrim Ağacı'na Destek Ol

Evrim Ağacı'nın %100 okur destekli bir bilim platformu olduğunu biliyor muydunuz? Evrim Ağacı'nın maddi destekçileri arasına katılarak Türkiye'de bilimin yayılmasına güç katın.

Evrim Ağacı'nı Takip Et!
Keşfet
Ara
Yakında
Sohbet
Agora

Bize Ulaşın

ve seni takip ediyor
Türkiye'deki bilimseverlerin buluşma noktasına hoşgeldiniz!

Göster

Şifremi unuttum Üyelik Aktivasyonu

Göster

Şifrenizi mi unuttunuz? Lütfen e-posta adresinizi giriniz. E-posta adresinize şifrenizi sıfırlamak için bir bağlantı gönderilecektir.

Geri dön

Eğer aktivasyon kodunu almadıysanız lütfen e-posta adresinizi giriniz. Üyeliğinizi aktive etmek için e-posta adresinize bir bağlantı gönderilecektir.

Geri dön

Close
"İnsanlığın sadece tahminlerde bulunabileceği ve ancak nesiller boyu süren çaba sonucu kısmen çözebileceği gizemler mevcuttur."
Bram Stoker
Kapak Görseli Seç
Videodan otomatik olarak çıkartılan karelerden birini seçin.
Kareler yükleniyor…
Videoyu kaydırarak istediğiniz kareyi seçin.
0:00 / 0:00
Kendi kapak görselinizi yükleyin. Görsel otomatik olarak kırpılacaktır.
Görseli sürükleyin veya tıklayın PNG, JPG veya WEBP (Maks. 10MB)