Keşfedin, Öğrenin ve Paylaşın
Evrim Ağacı'nda Aradığın Her Şeye Ulaşabilirsin!
Paylaşım Yap
2,500 ATP Ödüllü Soru: 3 boyutlu bir nesne 2 boyutlu bir şeye müdahale edebilir mi edebilirse bu neden ve nasıl gerçekleşir? Hemen cevapla! 1,000 ATP Ödüllü Soru: CRISPR Teknolojisi hakkında ne düşünüyorsunuz? Hemen cevapla!
Keşfet
Akış
İçerikler
Gündem
Gönderiler
Avrupa
Memeli
Coğrafya
Balıklar
Kadın Doğum
Renk
Protein
Patojen
Değişim
İnsan Sağlığı
Deniz
Meteor
Kertenkele
Bilim Tarihi
Hominidae
Elektrokimya
Toprak
Beslenme Biçimi
Astrofotoğrafçılık
Kaygı
Bilgisayar
Mikrop
Yıl
Doğa Gözlemleri
Hastalık Yayılımı
Aklımdan Geçen
Komünite Seç
Aklımdan Geçen
Fark Ettim ki...
Bugün Öğrendim ki...
İşe Yarar İpucu
Bilim Haberleri
Hikaye Fikri
Video Konu Önerisi
Başlık
Bugün Türkiye'de bilime ve bilim okuryazarlığına neler katacaksın?
Gündem
Bağlantı
Ekle
Soru Sor
Stiller
Kurallar
Komünite Kuralları
Bu komünite, aklınızdan geçen düşünceleri Evrim Ağacı ailesiyle paylaşabilmeniz içindir. Yapacağınız paylaşımlar Evrim Ağacı'nın kurallarına tabidir. Ayrıca bu komünitenin ek kurallarına da uymanız gerekmektedir.
1
Bilim kimliğinizi önceleyin.
Evrim Ağacı bir bilim platformudur. Dolayısıyla aklınızdan geçen her şeyden ziyade, bilim veya yaşamla ilgili olabilecek düşüncelerinizle ilgileniyoruz.
2
Propaganda ve baskı amaçlı kullanmayın.
Herkesin aklından her şey geçebilir; fakat bu platformun amacı, insanların belli ideolojiler için propaganda yapmaları veya başkaları üzerinde baskı kurma amacıyla geliştirilmemiştir. Paylaştığınız fikirlerin değer kattığından emin olun.
3
Gerilim yaratmayın.
Gerilim, tersleme, tahrik, taciz, alay, dedikodu, trollük, vurdumduymazlık, duyarsızlık, ırkçılık, bağnazlık, nefret söylemi, azınlıklara saldırı, fanatizm, holiganlık, sloganlar yasaktır.
4
Değer katın; hassas konulardan ve öznel yoruma açık alanlardan uzak durun.
Bu komünitenin amacı okurlara hayatla ilgili keyifli farkındalıklar yaşatabilmektir. Din, politika, spor, aktüel konular gibi anlık tepkilere neden olabilecek konulardaki tespitlerden kaçının. Ayrıca aklınızdan geçenlerin Türkiye’deki bilim komünitesine değer katması beklenmektedir.
5
Cevap hakkı doğurmayın.
Aklınızdan geçenlerin bu platformda bulunmuyor olabilecek kişilere cevap hakkı doğurmadığından emin olun.
Size Özel
Makaleler
Rastgele Soru
Çağrı Mert Bakırcı
18 Aralık 2023
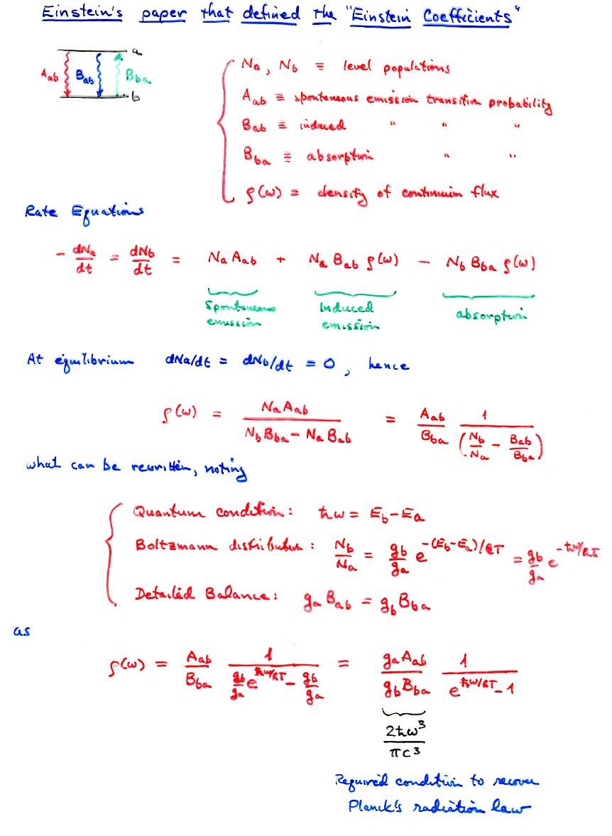
1916'da Albert Einstein'ın kuantum fiziği alanındaki çalışmalarının bir yan ürünü olarak yazdığı denklemler, 40 sene kadar sonra lazerleri mümkün kıldı. Lazerler de optik okuyucuları, sayısız sağlık hizmetini ve hayatımızı kolaylaştıran binlerce ürünü... Eğer 1916'da Einstein veya herhangi birine o denklemlerin ne işe yarayacağını sorsanız, size cevap veremezdi. Bilimi o anki işe yararlığı ile yargılayamazsınız.
66
0 Yorum
  • Şikayet Et
  • Mantık Hatası
0
  • Paylaş
  • Alıntıla
  • Alıntıları Göster
Arda Cibelik
36 dakika önce
15 yaşındayım; Big Bang’i bir "amir" gibi sorgu odasına alıyorum. Sorum net: Genişleyen evrenin basacağı "zemin" neresidir? Sahne yoksa oyuncu nerede durur? Amacım teoriyi yıkmak değil, cevap veremediği noktada "yarasını sarıp" onu felsefe ve bilimle kökten doğrulamak. Derimin altındaki bu kozmik boşluğu, rasyonel bir tartışmayla dışarı saçmak istiyorum. Gelin, bu "zemin" paradoksunu beraber çözelim.
0
0 Yorum
  • Şikayet Et
  • Mantık Hatası
0
  • Paylaş
  • Alıntıla
  • Alıntıları Göster
Ece Müker
Ece Müker
625.1K UP
3 saat önce
Harvard Üniversitesi’nden David Reich ve Ali Akbari liderliğindeki araştırmacıların Nature dergisinde (16 Nisan 2026) yayımladığı devasa çalışma, insan evriminin tarım devrimiyle birlikte duraksadığına dair yaygın inanışı çürüttü. Yaklaşık 16.000 antik insan kalıntısı ve 6.000 modern bireyin DNA’sını analiz eden ekip, son 10.000 yılda Batı Avrasya popülasyonlarında evrimin sadece devam etmekle kalmadığını, aynı zamanda hızlandığını kanıtladı.

Çalışma, doğal seçilimin doğrudan etkilediği tam 479 genetik varyant belirledi. Bu, daha önce sadece 21 varyantın (yetişkinlerde süt sindirimi gibi) bilindiği bu alan için devrim niteliğinde bir artış anlamına geliyor.

Araştırma, kızıl saç ve açık tenle ilişkili genlerin 10.000 yıldır aktif olarak seçildiğini gösteriyor. Bilim insanları bunun, güneş ışığının az olduğu kuzey bölgelerinde tarıma geçilmesiyle (ve beslenmedeki vitamin kaynaklarının değişmesiyle) D vitamini sentezini artırmak için geliştirilen bir hayatta kalma avantajı olduğunu belirtiyor.

Çölyak hastalığı riskini artıran genlerin son 4.000 yılda artması ve tüberküloz riskini artıran TYK2 geninin bir dönem yükselip sonra düşmesi, evrimin ilginç "pazarlıklarını" ortaya koyuyor. Bu riskli genlerin, geçmişteki belirli salgın hastalıklara karşı koruma sağladığı için yaygınlaşmış olabileceği düşünülüyor.

Avcı-toplayıcı dönemde kıtlığa karşı avantaj sağlayan yüksek vücut yağı genlerinin, gıdanın daha istikrarlı hale geldiği tarım toplumlarında "negatif seçilime" uğrayarak azalmaya başladığı görüldü.

Veriler; kellik, diyabet ve romatoid artrit riskini düşüren varyantların modern tarihimizde giderek daha yaygın hale geldiğini gösteriyor.

Gelişmiş hesaplama teknikleri sayesinde "evrimi gerçek zamanlı izlememize" olanak tanıyan bu çalışma, modern biyolojimizi şekillendiren güçlerin nerede ve ne zaman devreye girdiğini net bir şekilde ortaya koyuyor. Evrimsel süreçlerin sadece binlerce yıl önce tamamlanmış bir hikaye değil, bugün bile biyolojimizi sessizce yöneten aktif bir mekanizma olduğu bir kez daha teyit edilmiş oldu.

Bu gönderi Evrim Ağacı tarafından öne çıkarılmıştır.
1
0 Yorum
  • Şikayet Et
  • Mantık Hatası
0
  • Paylaş
  • Alıntıla
  • Alıntıları Göster
Ece Müker
Ece Müker
625.1K UP
3 saat önce
Monthly Notices of the Royal Astronomical Society dergisinde yayımlanan yeni bir çalışma, Dünya’dan yaklaşık 500 milyon ışık yılı uzaklıktaki Markarian 501 (Mrk 501) galaksisinin merkezinde, birbirinin etrafında dönen iki süper kütleli kara delik olduğunu ortaya koydu. Astronomlar, bu iki dev nesnenin yaklaşık 100 yıl içinde çarpışarak birleşeceğini öngörüyor.

Araştırmanın öne çıkan detayları şunlardır:

Gizli Jetin Keşfi: Daha önce tek bir "blazar" (aktif galaksi çekirdeği) olduğu düşünülen nesnenin, 83 farklı radyo teleskop veri setinin incelenmesiyle aslında iki ayrı jet püskürttüğü anlaşıldı. Bu jetlerin her birinin, Güneş'in kütlesinin 100 milyon ile 1 milyar katı büyüklüğündeki süper kütleli kara delikler tarafından beslendiği düşünülüyor.

Kozmik Dans ve Einstein Halkası: İki kara deliğin her 121 günde bir birbirinin etrafında tam tur attığı ve aralarındaki mesafenin astronomik ölçekte oldukça yakın olduğu (Dünya-Güneş mesafesinin 250 ila 540 katı) saptandı. Haziran 2022'de gerçekleşen bir hizalanma sırasında, öndeki kara deliğin kütleçekimi arkadaki jetin ışığını bükerek bir "Einstein Halkası" oluşturdu. Bu kütleçekimsel merceklenme olayı, ikili sistem teorisini destekleyen en güçlü kanıtlardan biri oldu.

Dünya’dan Hissedilecek Etki: Bu iki devasa kütle birleştiğinde, evrenin dokusunda (uzay-zaman) şimdiye kadar gözlemlenenlerden çok daha güçlü kütleçekimsel dalgalar yayacak. Bu dalgalar Dünya’daki hassas dedektörler tarafından yakalanabilecek ve kara delik birleşmelerinin fiziğine dair benzersiz bilgiler sunacak.

Bilim insanları, bu "kozmik dansın" bir yüzyıldan kısa bir sürede devasa bir çarpışmayla sonuçlanmasını ve geriye tek bir devasa kara deliğin kalmasını bekliyor. Bu keşif, galaksi merkezlerindeki devlerin nasıl büyüdüğünü ve evrildiğini anlamak adına kritik bir adım olarak görülüyor.

Bu gönderi Evrim Ağacı tarafından öne çıkarılmıştır.
1
0 Yorum
  • Şikayet Et
  • Mantık Hatası
0
  • Paylaş
  • Alıntıla
  • Alıntıları Göster
NOAA Okyanus ve Atmosfer
7 saat önce
South Dakota ve Minnesota sınırındaki Big Stone Gölü’nde yaşayan göl mersin balıkları mercek altında. USGS, South Dakota Eyalet Üniversitesi ve yerel yönetimlerin iş birliğiyle yürütülen üç yıllık çalışmada; balıkların yaşı, gelişimi ve hareketleri takip ediliyor. Bu araştırmadan elde edilecek veriler, bölgedeki mersin balığı popülasyonunun korunması ve doğru yönetilmesi için hayati önem taşıyor.

📷 Bir araştırmacı göl mersin balığının boyunu ölçüyor.
📷 Bir araştırmacı ekipmanlarla çalışıyor.
📷 Bir araştırmacı göl mersin balığını tutuyor.
19 görüntülenme
1
0 Yorum
  • Şikayet Et
  • Mantık Hatası
0
  • Paylaş
  • Alıntıla
  • Alıntıları Göster
NOAA Okyanus ve Atmosfer
7 saat önce
Körfez'deki balina köpekbalıklarını bulma ve takip etme çalışmalarımız sizin desteğinizle yürütülüyor.

Bilim insanlarımız araştırma gezilerini, geçmiş ve güncel gözlem raporlarına göre planlar. Sonra bir araştırmacımızı uçakla bölgeyi keşfe göndeririz. ✈️ Balina köpekbalıkları bulunursa, konumları belgelenir ve sudaki ekibimize telsizle bildirilir. 🚤

Ardından köpekbalıkları fotoğraflanır, değerlendirilir ve hareketlerini izlemek için etiketlenir.

Okyanusun en büyük balığı olsalar da, balina köpekbalıklarını bulmak samanlıkta iğne aramak gibidir! Gözlemlerinizi bize bildirerek destek olun.
0
0 Yorum
  • Şikayet Et
  • Mantık Hatası
0
  • Paylaş
  • Alıntıla
  • Alıntıları Göster
Daha Fazla İçerik Göster
Popüler Yazılar
30 gün
90 gün
1 yıl
Evrim Ağacı'na Destek Ol

Evrim Ağacı'nın %100 okur destekli bir bilim platformu olduğunu biliyor muydunuz? Evrim Ağacı'nın maddi destekçileri arasına katılarak Türkiye'de bilimin yayılmasına güç katın.

Evrim Ağacı'nı Takip Et!
Keşfet
Ara
Yakında
Sohbet
Agora

Bize Ulaşın

ve seni takip ediyor
Türkiye'deki bilimseverlerin buluşma noktasına hoşgeldiniz!

Göster

Şifremi unuttum Üyelik Aktivasyonu

Göster

Şifrenizi mi unuttunuz? Lütfen e-posta adresinizi giriniz. E-posta adresinize şifrenizi sıfırlamak için bir bağlantı gönderilecektir.

Geri dön

Eğer aktivasyon kodunu almadıysanız lütfen e-posta adresinizi giriniz. Üyeliğinizi aktive etmek için e-posta adresinize bir bağlantı gönderilecektir.

Geri dön

Close
"Burada başarısızlık da bir seçenektir. Eğer ki başarısız olmuyorsanız, yeterince girişimde bulunmuyorsunuz demektir!"
Elon Musk
Kapak Görseli Seç
Videodan otomatik olarak çıkartılan karelerden birini seçin.
Kareler yükleniyor…
Videoyu kaydırarak istediğiniz kareyi seçin.
0:00 / 0:00
Kendi kapak görselinizi yükleyin. Görsel otomatik olarak kırpılacaktır.
Görseli sürükleyin veya tıklayın PNG, JPG veya WEBP (Maks. 10MB)